Skip to content
My Docs
Search
Ctrl
K
Cancel
Introduction to Cambodian Health & Culture
Caring for Cambodian Patients
Common Complaints
Common Diagnoses & Interventions
Common Healthcare Interventions / Behaviors
Common Challenges to Care
Cardiovascular
Hypertension
CHF
IHD/CAD
Chest Pain/ACS/Acute MI
Atrial Fibrillation/Flutter
Hypercholesterolemia
Endocrinology
Diabetes/Prediabetes
Hyperthyroidism
Goiter/MNG
DKA
Fluid, Electrolytes, and Nutrition
Dehydration
Iron Deficiency
Iodine Deficiency
Dietary Fiber Deficiency
Enteral Feeding Protocol
Macronutrient Deficiency/PEM
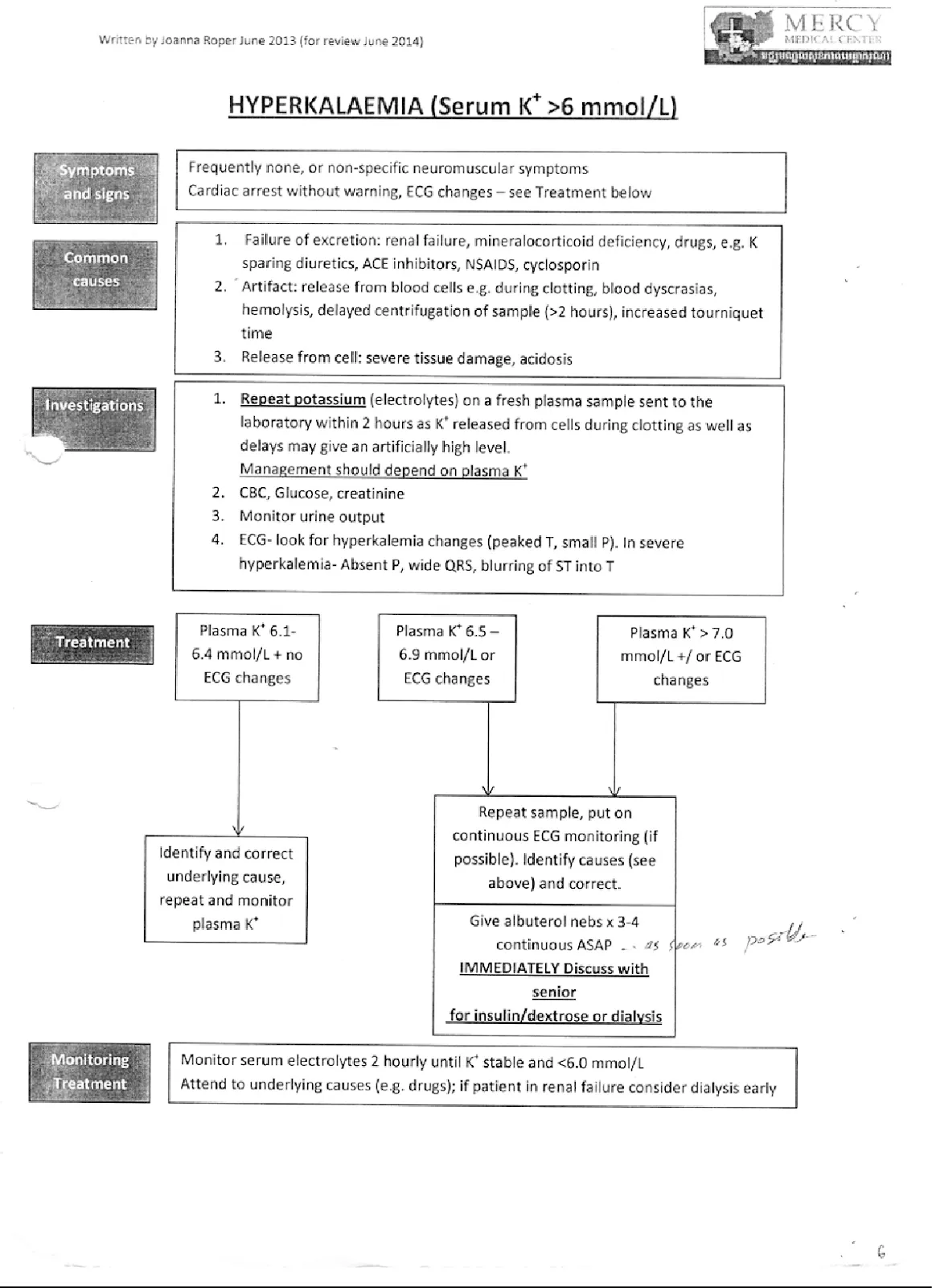
Hyperkalemia protocol
Hypokalemia protocol
Hyponatremia
Gastroenterology
GERD/Gastritis/PUD
GI Bleed
Abdominal Pain
Nausea/Vomiting
Constipation
Diarrhea
Pancreatitis
Cholelithiasis/Cholecystitis
Cirrhosis with or without ascites
Hematology
Anemia
Thrombocytopenia
Pancytopenia
Chronic Myelogenous Leukemia (CML)
Infectious Disease
Fever
Pneumonia
Pulmonary & Extrapulmonary TB
UTI
Skin & Soft Tissue Infections/Cellulitis
HIV
Meningitis
Hepatitis B
Hepatitis C
Parasites
Typhoid
Giardia
Amoebiasis
Dengue/Chikungunya
Malaria
STIs
Nephrology
CKD
AKI
Nephrotic Syndrome & Nephritic Disease Glomerulonephritis DDx Diagram
Proteinuria
Hematuria
Nephrolithiasis
Neurology
Headache
Stroke/TIA
Dementia
Parkinson’s Disease
Seizure Disorders
CNS lesions/mass
Dementia
Ophthalmology
Visual Impairment
Visual Impairment
Cataracts
Glaucoma
Oral Health & Dentistry
Caries
Palliative Care, Pain Control, & End-of-Life Care
Palliative Care, Pain Control, & End-of-Life Care
General Pediatrics
General Pediatrics
Preventive Health
General Preventative Health Recommendations MMC
Child Immunizations
Adult Immunizations
Cancer Prevention
Behavior Risk Management
Psychiatry
Overview of Mental Health in Cambodia
Depression
Bipolar Disorder
Anxiety/PTSD
Schizophrenia
Somatization/Conversion Disorders
Hyperkalemia protocol